
Tocopheryl Nicotinate is an ester of Vitamin E and niacin (Vitamin B3). It is a fat-soluble antioxidant known for its potential benefits in reducing blood lipid levels, protecting against oxidative stress, and enhancing microcirculation. It is widely added in cosmetic, dermatological, and pharmaceutical topical formulations due to its combined antioxidant and circulation-enhancing properties.

CAS No.:43119-47-7, 51898-34-1
Synonyms: Alpha-tocopheryl nicotinate, Tocoferil nicotinate, Tocopherol nicotinate, Vitamin E nicotinate, Vitamin E nicotinic acid ester
| Physical Properties | |
| Chemical formula | C35H53NO3 |
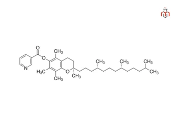
| IUPAC name | [(2R)-2,5,7,8-tetramethyl-2-[(4R,8R)-4,8,12-trimethyltridecyl]-3,4-dihydrochromen-6-yl] pyridine-3-carboxylate |
| Molecular weight | 535.8Â g/mol |
| Solubility | Insoluble in water, Soluble in organic solvents like ethanol, DMSO, and propylene glycol |
| Odor | Odorless |
| Color | White to off-white |
| State | Solid |
| Pictograms : |
|
| Hazard Statements : | H302Harmful if swallowed H315Causes skin irritation H319Causes serious eye irritation H335May cause respiratory irritation |
| Precautionary statements : | P261Avoid breathing dust/fume/gas/mist/vapours/spray. P305+P351+P338IF IN EYES: Rinse cautiously with water for several minutes. Remove contact lenses, if present and easy to do. Continuerinsing. |
Tocopheryl Nicotinate is an ester of Vitamin E and niacin (Vitamin B3). It is a fat-soluble antioxidant known for its potential benefits in reducing blood lipid levels, protecting against oxidative stress, and enhancing microcirculation. It is widely added in cosmetic, dermatological, and pharmaceutical topical formulations due to its combined antioxidant and circulation-enhancing properties.

CAS No.:43119-47-7, 51898-34-1
Synonyms: Alpha-tocopheryl nicotinate, Tocoferil nicotinate, Tocopherol nicotinate, Vitamin E nicotinate, Vitamin E nicotinic acid ester
| Physical Properties | |
| Chemical formula | C35H53NO3 |
| IUPAC name | [(2R)-2,5,7,8-tetramethyl-2-[(4R,8R)-4,8,12-trimethyltridecyl]-3,4-dihydrochromen-6-yl] pyridine-3-carboxylate |
| Molecular weight | 535.8Â g/mol |
| Solubility | Insoluble in water, Soluble in organic solvents like ethanol, DMSO, and propylene glycol |
| Odor | Odorless |
| Color | White to off-white |
| State | Solid |
| Pictograms : |
|
| Hazard Statements : | H302Harmful if swallowed H315Causes skin irritation H319Causes serious eye irritation H335May cause respiratory irritation |
| Precautionary statements : | P261Avoid breathing dust/fume/gas/mist/vapours/spray. P305+P351+P338IF IN EYES: Rinse cautiously with water for several minutes. Remove contact lenses, if present and easy to do. Continuerinsing. |
Hydroquinone lightens the skin by inhibiting melanin production, while tretinoin promotes skin cell health and reduces wrinkles, and it can be used in combination on a daily basis. However, it is advisable to consult with an expert before using this.
Tocopheryl Nicotinate is generally considered beneficial for the skin as it is a combination of Vitamin E and nicotinic acid. It helps promote a brighter skin tone, strengthens the skin barrier, improves hydration, and supports overall skin rejuvenation. However, a patch test is always recommended before use.
Tocopheryl Nicotinate supports hair health by enhancing scalp microcirculation and protecting hair follicles from oxidative stress. It is commonly combined with niacin and vitamin C in hair-care formulations to improve scalp vitality, support follicle function, and enhance hair luminosity and texture.