
Panthenyl Hydroxypropyl Steardimonium Chloride, a quaternary ammonium salt which is a conditioning agent. It is derived from Panthenol (Pro-vitamin B5) and Stearic acid, which is used in personal care products like hair and skin conditioners. It helps in improving skin and hair texture and reduces static electricity on the hair.

CAS No.: 132467-76-6
Synonyms: Panthenyl hydroxypropyl stearyldimonium chloride, Panthequat
| Physical Properties | |
| Chemical formula | C32H67ClN2O5 |
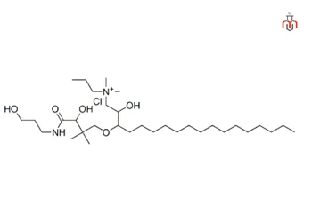
| IUPAC name | [2-hydroxy-3-[3-hydroxy-4-(3-hydroxypropylamino)-2,2-dimethyl-4-oxobutoxy]propyl]-dimethyl-octadecylazanium chloride |
| Molecular weight | 595.3Â g/mol |
| Solubility | Miscible with water |
| Odor | Characteristic |
| Color | Colorless to pale yellow |
| Apperance | Amber transparent liquid |
| Pictograms : |
|
| Hazard Statements : | H318 – Causes serious eye damage |
| Precautionary statements : | P280 – Wear protective gloves/protective clothing/eye protection/face protection P305 + P351 + P338 – IF IN EYES: Rinse cautiously with water for several minutes. |
Panthenyl Hydroxypropyl Steardimonium Chloride, a quaternary ammonium salt which is a conditioning agent. It is derived from Panthenol (Pro-vitamin B5) and Stearic acid, which is used in personal care products like hair and skin conditioners. It helps in improving skin and hair texture and reduces static electricity on the hair.

CAS No.: 132467-76-6
Synonyms: Panthenyl hydroxypropyl stearyldimonium chloride, Panthequat
| Physical Properties | |
| Chemical formula | C32H67ClN2O5 |
| IUPAC name | [2-hydroxy-3-[3-hydroxy-4-(3-hydroxypropylamino)-2,2-dimethyl-4-oxobutoxy]propyl]-dimethyl-octadecylazanium chloride |
| Molecular weight | 595.3Â g/mol |
| Solubility | Miscible with water |
| Odor | Characteristic |
| Color | Colorless to pale yellow |
| Apperance | Amber transparent liquid |
| Pictograms : |
|
| Hazard Statements : | H318 – Causes serious eye damage |
| Precautionary statements : | P280 – Wear protective gloves/protective clothing/eye protection/face protection P305 + P351 + P338 – IF IN EYES: Rinse cautiously with water for several minutes. |
Panthenyl Hydroxypropyl Steardimonium Chloride acts as a good conditioning agent for hair, provides shine, reduces static and moisturises the hair.
Panthenyl Hydroxypropyl Steardimonium Chloride is not the same as panthenol, actually it is derived from panthenol which is a natural pro-vitamin (Pro-Vitamin B5) with moisturizing properties while Panthenyl Hydroxypropyl Steardimonium Chloride is a quaternary ammonium derivative of panthenol used mainly in hair-conditioning products to reduce frizz, improve smoothness.
Â
Panthenyl Hydroxypropyl Steardimonium Chloride is generally considered as safe but it has the potential to cause irritation in sensitive individuals.
Panthenyl Hydroxypropyl Steardimonium Chloride is a synthetic ingredient, synthesised by reacting naturally derived panthenol (Vitamin B3) with a long-chain quaternary amine.