
Microcrystalline cellulose (MCC) is a partially depolymerized cellulose isolated from lignocellulose (α-Cellulose) of wood pulp, cotton linters, or agricultural residues such as straw, bagasse, and cotton stalks, through controlled mineral acid hydrolysis.
It is widely used as an excipient and dietary supplement, and also used in cosmetic formulation, to remove dead skin cells, absorbs excess oil and supports skin conditioning.

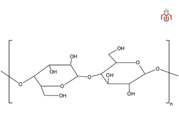
CAS No.: 9004-34-6
Synonyms: Cellulose Powders, α-Cellulose, Cellulose microcrystalline, Cellulose gel
| Physicochemical Properties | |
| Chemical formula | (C₆H₁₀O₅)ₙ |
| Chemical name | Cellulose |
| Molecular weight | 162.14 g/mol (Monomer unit ) |
| Color | White |
| State | Crystalline powder |
| Odor | Odorless |
| pH | 5-7 |
| Density | ~1.5 g/cm³ (at 20 °C) |
| Solubility | Insoluble in water, ethanol, ether, and dilute mineral acids, slightly soluble in sodium hydroxide solution |
Microcrystalline cellulose is safe; however, individuals have some allergic conditions, like –
| Pictograms : |
|
| Hazard Statements : | H232: May form combustible dust concentrations in air |
| Precautionary statements : | P403+P233: Store in a well-ventilated place. Keep container tightly closed |
Microcrystalline cellulose (MCC) is a partially depolymerized cellulose isolated from lignocellulose (α-Cellulose) of wood pulp, cotton linters, or agricultural residues such as straw, bagasse, and cotton stalks, through controlled mineral acid hydrolysis.
It is widely used as an excipient and dietary supplement, and also used in cosmetic formulation, to remove dead skin cells, absorbs excess oil and supports skin conditioning.

CAS No.: 9004-34-6
Synonyms: Cellulose Powders, α-Cellulose, Cellulose microcrystalline, Cellulose gel
| Physicochemical Properties | |
| Chemical formula | (C₆H₁₀O₅)ₙ |
| Chemical name | Cellulose |
| Molecular weight | 162.14 g/mol (Monomer unit ) |
| Color | White |
| State | Crystalline powder |
| Odor | Odorless |
| pH | 5-7 |
| Density | ~1.5 g/cm³ (at 20 °C) |
| Solubility | Insoluble in water, ethanol, ether, and dilute mineral acids, slightly soluble in sodium hydroxide solution |
Microcrystalline cellulose is safe; however, individuals have some allergic conditions, like –
| Pictograms : |
|
| Hazard Statements : | H232: May form combustible dust concentrations in air |
| Precautionary statements : | P403+P233: Store in a well-ventilated place. Keep container tightly closed |
Microcrystalline cellulose is made from acid hydrolysis and purification of α-cellulose, which is extracted from the wood pulp and cotton linters.
Microcrystalline cellulose is categorized as GRAS (generally regarded as safe), widely used as a binder, filler, and anti-caking agent commercially, and it is also considered safe for humans in normal quantities; however, intake of high amounts can cause health issues.
Microcrystalline cellulose is approved by the U.S. Food and Drug Administration (FDA) as a direct food additive and is also listed as an inactive ingredient for pharmaceuticals.
Cellulose is a long-chain polymer found in the cell walls of plants, bacteria, and tunicates (marine animals), used to make papers and biofuels, while microcrystalline cellulose is a purified and processed form of cellulose used as anti-caking and stabilizer agents.