
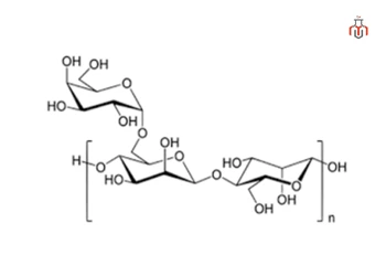
Acacia Senegal Gum, also known as gum arabic, is exuded from two species of Acacia sensu lato: Senegalia senegal and Vachellia seyal. It is commercially harvested from the wild trees in Sudan used as a thickening agent, stabiliser and emulsifier in various industries like food, cosmetics, pharmaceutical and art industry.
Â

CAS No.: 9000-01-5
Synonyms: 1,4-Benzenediol, Quinol, p-Dihydroxybenzene, p-Hydroxyphenol, 1,4-Dihydroxybenzene
| Physical Properties | |
| Color | Pale white |
| State | Crystal or powder |
| Solubility | Highly soluble in water |
| Odor | Odorless |
Widely used in moisturisers, mascaras, eyeliners, lotions, and serums, where it functions as a potent natural emulsifier and thickener, improving the texture, spreadability, and stability of the formulation.
Forms a protective, film-forming layer on the skin, helping to retain moisture and keep the skin smooth, soft, and hydrated.
Exhibits skin-conditioning and anti-pigmentation benefits, supporting the reduction of dark spots and uneven skin tone, and enhancing overall skin appearance.
Commonly added to lozenges and oral syrups as a binder, emulsifier, and suspending agent, improving consistency and mouthfeel.
Used in the microencapsulation of active pharmaceutical ingredients (APIs) to enhance stability, control release, and protect sensitive actives from degradation.
| Pictograms : |
|
| Hazard Statements : | H319: Causes mild eye irritation (dust exposure) H335: May cause respiratory irritation if inhaled (dust) H303: May be harmful if swallowed in large quantities (low toxicity) |
| Precautionary statements : | P102: Keep out of reach of children P264: Wash hands thoroughly after handling P270: Do not eat, drink, or smoke when using this product P261: Avoid breathing dust P271: Use in a well-ventilated area P280: Wear protective gloves, eye protection, and a dust mask if handling in bulk powder form |
Acacia Senegal Gum, also known as gum arabic, is exuded from two species of Acacia sensu lato: Senegalia senegal and Vachellia seyal. It is commercially harvested from the wild trees in Sudan used as a thickening agent, stabiliser and emulsifier in various industries like food, cosmetics, pharmaceutical and art industry.
Â

CAS No.: 9000-01-5
Synonyms: 1,4-Benzenediol, Quinol, p-Dihydroxybenzene, p-Hydroxyphenol, 1,4-Dihydroxybenzene
| Physical Properties | |
| Color | Pale white |
| State | Crystal or powder |
| Solubility | Highly soluble in water |
| Odor | Odorless |
Widely used in moisturisers, mascaras, eyeliners, lotions, and serums, where it functions as a potent natural emulsifier and thickener, improving the texture, spreadability, and stability of the formulation.
Forms a protective, film-forming layer on the skin, helping to retain moisture and keep the skin smooth, soft, and hydrated.
Exhibits skin-conditioning and anti-pigmentation benefits, supporting the reduction of dark spots and uneven skin tone, and enhancing overall skin appearance.
Commonly added to lozenges and oral syrups as a binder, emulsifier, and suspending agent, improving consistency and mouthfeel.
Used in the microencapsulation of active pharmaceutical ingredients (APIs) to enhance stability, control release, and protect sensitive actives from degradation.
| Pictograms : |
|
| Hazard Statements : | H319: Causes mild eye irritation (dust exposure) H335: May cause respiratory irritation if inhaled (dust) H303: May be harmful if swallowed in large quantities (low toxicity) |
| Precautionary statements : | P102: Keep out of reach of children P264: Wash hands thoroughly after handling P270: Do not eat, drink, or smoke when using this product P261: Avoid breathing dust P271: Use in a well-ventilated area P280: Wear protective gloves, eye protection, and a dust mask if handling in bulk powder form |
Acacia senegal gum is vegan as it is an exudate from the plant and used in many vegan products such as baked goods, confectionery and beverages.
Acacia senegal gum is generally considered as safe and is also used in cosmetics and as a food additive (E414). Although it can cause mild digestive issues or allergic reactions in sensitive individuals.
Arabic gum is the same as Acacia senegal. Arabic gum or gum arabic is the general term for the exudate from the Acacia senegal tree.